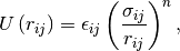
This module implements the (inverse) power-law potential,

for the interaction between two particles of species
and
with the power-law index
.
Construct power-law potential.
| Parameters: |
|
|---|
If all elements of a matrix are equal, a scalar value should be passed instead.
Note
The cutoff is only relevant with halmd.mdsim.forces.pair_trunc.
Matrix with elements
.
Matrix with elements
.
Matrix with elements
in reduced units.
Matrix with elements
in units of
.
Power-law index 
Name of potential for profiler.