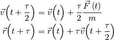
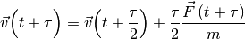
This NVE-ensemble integrator implements the velocity-Verlet algorithm in J. Chem. Phys. 76, 637 (1982).
The algorithm consists of a first half-step

and a second half-step

Construct velocity-Verlet integrator for given system of particles.
| Parameters: |
|
|---|
Set integration time step in MD units.
| Parameters: | timestep (number) – integration timestep |
|---|
This method forwards to halmd.mdsim.clock.set_timestep(), to ensure that all integrators use an identical time step.
Integration time step in MD units.
Disconnect integrator from core and profiler.
Calculate first half-step.
By default this function is connected to halmd.mdsim.core.on_integrate().
Calculate second half-step.
By default this function is connected to halmd.mdsim.core.on_finalize().