When passed to halmd.mdsim.forces.pair_trunc, this function transforms the potential into a C²-continuous function, and the force into a C¹-continuous function. The degree of smoothing is controlled with a dimensionless parameter.
The smoothing function is

with smoothing parameter
and cutoff distance
,
and its derivative

The C²-continuous potential is

and the C¹-continuous force is

The following figure shows unmodified and C²-smooth variants of the
Weeks-Chandler-Andersen potential, a purely repulsive form of the
Lennard-Jones potential with cutoff
.
(Source code, png, hires.png, pdf)
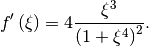
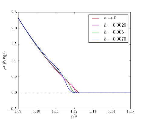
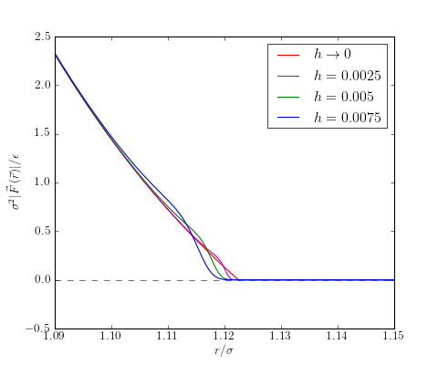
The following figure shows the absolute value of the force.
(Source code, png, hires.png, pdf)
Construct smoothing function.
| Parameters: |
|
|---|
Smoothing parameter.
Output smoothing parameter to logger.
| Parameters: | logger – instance of halmd.io.log.logger |
|---|