Formulae and units

Lennard-Jones

Propagation laws

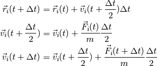
velocity-Verlet algorithm

\begin{align*}
  \vec{r}_i(t+\Delta t) &= \vec{r}_i(t) + \vec{v}_i(t+\frac{\Delta t}{2})\Delta t \\
  \vec{v}_i(t+\frac{\Delta t}{2}) &= \vec{v}_i(t) +
  \frac{\vec{F}_i(t)}{m}\frac{\Delta t}{2} \\
  \vec{v}_i(t+\Delta t) &= \vec{v}_i(t+\frac{\Delta t}{2}) +
  \frac{\vec{F}_i(t+\Delta t)}{m}\frac{\Delta t}{2}
\end{align*}

Interaction laws

Lennard-Jones potential

U(r_{ij}) = 4\epsilon
\Bigl(\bigl(\frac{\sigma}{r_{ij}}\bigr)^{12}
- \bigl(\frac{\sigma}{r_{ij}}\bigr)^6\Bigr)

shifted, truncated Lennard-Jones potential

U_s(r_{ij}) =
\begin{cases}
  4\epsilon\left(\left(\dfrac{\sigma}{r}\right)^{12} -
  \left(\dfrac{\sigma}{r}\right)^{6}\right)-U(r_c)\,, & r < r_c \,,\\
  0\,, & r > r_c \,.
\end{cases}

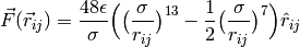
Lennard-Jones force

\vec{F}(\vec{r}_{ij}) = \frac{48\epsilon}{\sigma}
\Bigl(\bigl(\frac{\sigma}{r_{ij}}\bigr)^{13}
- \frac{1}{2}\bigl(\frac{\sigma}{r_{ij}}\bigr)^7\Bigr) \hat{r}_{ij}

Base MD units

unit of length

[r] = \sigma

unit of energy

[E] = \epsilon

unit of time

[t] = \sqrt{\frac{m\sigma^2}{\epsilon}}

Table Of Contents

Previous topic

Data files

Next topic

Implementation